【多智能体控制】基于二阶多智能体系统固定时间一致性附Matlab代码
本文针对存在有界干扰的二阶多智能体系统固定时间一致性问题展开研究,提出一种固定时间协议,确保系统达成固定时间一致性。基于固定时间控制方法设计控制律,使真实速度在固定时间内跟踪虚拟速度,再利用反步设计方法设计虚拟速度,实现系统固定时间一致性。相较于有限时间一致性结果,该方法不受智能体初始状态影响,可保证收敛稳定时间。通过实例仿真,验证了固定时间一致性算法的有效性,为多智能体系统协同控制提供了新的理论
✅作者简介:热爱科研的Matlab仿真开发者,擅长数据处理、建模仿真、程序设计、完整代码获取、论文复现及科研仿真。
🍎 往期回顾关注个人主页:Matlab科研工作室
🍊个人信条:格物致知,完整Matlab代码及仿真咨询内容私信。
🔥 内容介绍
本文针对存在有界干扰的二阶多智能体系统固定时间一致性问题展开研究,提出一种固定时间协议,确保系统达成固定时间一致性。基于固定时间控制方法设计控制律,使真实速度在固定时间内跟踪虚拟速度,再利用反步设计方法设计虚拟速度,实现系统固定时间一致性。相较于有限时间一致性结果,该方法不受智能体初始状态影响,可保证收敛稳定时间。通过实例仿真,验证了固定时间一致性算法的有效性,为多智能体系统协同控制提供了新的理论与技术支持。
关键词
二阶多智能体系统;固定时间一致性;有界干扰;反步设计;Matlab 仿真
一、引言
1.1 研究背景
多智能体系统在无人机协同作业、机器人集群控制、传感器网络等领域有着广泛的应用 。一致性问题作为多智能体系统研究的核心内容,旨在使多个智能体通过信息交互,在状态(如位置、速度等)上达成一致 。随着应用场景的日益复杂,智能体在运行过程中不可避免地会受到外界干扰 。对于二阶多智能体系统,考虑有界干扰下的一致性问题,实现快速且稳定的协同控制,具有重要的现实意义 。固定时间一致性算法相较于传统的有限时间一致性算法,能够在不依赖智能体初始状态的情况下,保证系统在固定时间内达到一致状态,为多智能体系统的可靠运行提供了更强的保障。
1.2 研究现状
目前,关于多智能体系统一致性的研究已取得诸多成果 。在有限时间一致性方面,众多学者通过设计不同的控制协议,实现了系统在有限时间内的状态一致 。然而,有限时间一致性的收敛时间往往与智能体的初始状态相关,在实际应用中存在一定局限性 。近年来,固定时间一致性算法逐渐成为研究热点 。已有研究针对一阶多智能体系统提出了多种固定时间一致性算法 ,但对于二阶多智能体系统,尤其是在存在有界干扰的情况下,相关研究仍有待进一步深入 。如何设计有效的固定时间一致性算法,克服干扰影响,实现快速稳定的协同控制,是当前亟待解决的问题。
1.3 研究目的与意义
本研究旨在提出一种适用于存在有界干扰的二阶多智能体系统的固定时间一致性算法,通过理论分析与 Matlab 仿真验证算法的有效性 。研究成果将丰富多智能体系统一致性理论,为实际工程应用中多智能体系统的协同控制提供理论依据和技术支持,有助于提升多智能体系统在复杂环境下的可靠性和实用性。

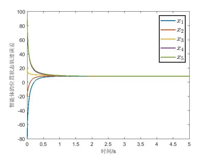
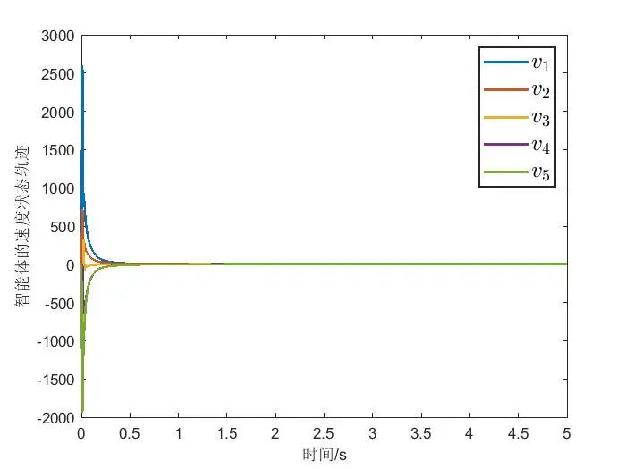
⛳️ 运行结果


📣 部分代码
🔗 参考文献

🎈 部分理论引用网络文献,若有侵权联系博主删除
👇 关注我领取海量matlab电子书和数学建模资料
🏆团队擅长辅导定制多种科研领域MATLAB仿真,助力科研梦:
🌈 各类智能优化算法改进及应用
生产调度、经济调度、装配线调度、充电优化、车间调度、发车优化、水库调度、三维装箱、物流选址、货位优化、公交排班优化、充电桩布局优化、车间布局优化、集装箱船配载优化、水泵组合优化、解医疗资源分配优化、设施布局优化、可视域基站和无人机选址优化、背包问题、 风电场布局、时隙分配优化、 最佳分布式发电单元分配、多阶段管道维修、 工厂-中心-需求点三级选址问题、 应急生活物质配送中心选址、 基站选址、 道路灯柱布置、 枢纽节点部署、 输电线路台风监测装置、 集装箱调度、 机组优化、 投资优化组合、云服务器组合优化、 天线线性阵列分布优化、CVRP问题、VRPPD问题、多中心VRP问题、多层网络的VRP问题、多中心多车型的VRP问题、 动态VRP问题、双层车辆路径规划(2E-VRP)、充电车辆路径规划(EVRP)、油电混合车辆路径规划、混合流水车间问题、 订单拆分调度问题、 公交车的调度排班优化问题、航班摆渡车辆调度问题、选址路径规划问题、港口调度、港口岸桥调度、停机位分配、机场航班调度、泄漏源定位
🌈 机器学习和深度学习时序、回归、分类、聚类和降维
2.1 bp时序、回归预测和分类
2.2 ENS声神经网络时序、回归预测和分类
2.3 SVM/CNN-SVM/LSSVM/RVM支持向量机系列时序、回归预测和分类
2.4 CNN|TCN|GCN卷积神经网络系列时序、回归预测和分类
2.5 ELM/KELM/RELM/DELM极限学习机系列时序、回归预测和分类
2.6 GRU/Bi-GRU/CNN-GRU/CNN-BiGRU门控神经网络时序、回归预测和分类
2.7 ELMAN递归神经网络时序、回归\预测和分类
2.8 LSTM/BiLSTM/CNN-LSTM/CNN-BiLSTM/长短记忆神经网络系列时序、回归预测和分类
2.9 RBF径向基神经网络时序、回归预测和分类
2.10 DBN深度置信网络时序、回归预测和分类
2.11 FNN模糊神经网络时序、回归预测
2.12 RF随机森林时序、回归预测和分类
2.13 BLS宽度学习时序、回归预测和分类
2.14 PNN脉冲神经网络分类
2.15 模糊小波神经网络预测和分类
2.16 时序、回归预测和分类
2.17 时序、回归预测预测和分类
2.18 XGBOOST集成学习时序、回归预测预测和分类
2.19 Transform各类组合时序、回归预测预测和分类
方向涵盖风电预测、光伏预测、电池寿命预测、辐射源识别、交通流预测、负荷预测、股价预测、PM2.5浓度预测、电池健康状态预测、用电量预测、水体光学参数反演、NLOS信号识别、地铁停车精准预测、变压器故障诊断
🌈图像处理方面
图像识别、图像分割、图像检测、图像隐藏、图像配准、图像拼接、图像融合、图像增强、图像压缩感知
🌈 路径规划方面
旅行商问题(TSP)、车辆路径问题(VRP、MVRP、CVRP、VRPTW等)、无人机三维路径规划、无人机协同、无人机编队、机器人路径规划、栅格地图路径规划、多式联运运输问题、 充电车辆路径规划(EVRP)、 双层车辆路径规划(2E-VRP)、 油电混合车辆路径规划、 船舶航迹规划、 全路径规划规划、 仓储巡逻
🌈 无人机应用方面
无人机路径规划、无人机控制、无人机编队、无人机协同、无人机任务分配、无人机安全通信轨迹在线优化、车辆协同无人机路径规划
🌈 通信方面
传感器部署优化、通信协议优化、路由优化、目标定位优化、Dv-Hop定位优化、Leach协议优化、WSN覆盖优化、组播优化、RSSI定位优化、水声通信、通信上传下载分配
🌈 信号处理方面
信号识别、信号加密、信号去噪、信号增强、雷达信号处理、信号水印嵌入提取、肌电信号、脑电信号、信号配时优化、心电信号、DOA估计、编码译码、变分模态分解、管道泄漏、滤波器、数字信号处理+传输+分析+去噪、数字信号调制、误码率、信号估计、DTMF、信号检测
🌈电力系统方面
微电网优化、无功优化、配电网重构、储能配置、有序充电、MPPT优化、家庭用电、电/冷/热负荷预测、电力设备故障诊断、电池管理系统(BMS)SOC/SOH估算(粒子滤波/卡尔曼滤波)、 多目标优化在电力系统调度中的应用、光伏MPPT控制算法改进(扰动观察法/电导增量法)
🌈 元胞自动机方面
交通流 人群疏散 病毒扩散 晶体生长 金属腐蚀
🌈 雷达方面
卡尔曼滤波跟踪、航迹关联、航迹融合、SOC估计、阵列优化、NLOS识别
🌈 车间调度
零等待流水车间调度问题NWFSP 、 置换流水车间调度问题PFSP、 混合流水车间调度问题HFSP 、零空闲流水车间调度问题NIFSP、分布式置换流水车间调度问题 DPFSP、阻塞流水车间调度问题BFSP
👇
火山引擎开发者社区是火山引擎打造的AI技术生态平台,聚焦Agent与大模型开发,提供豆包系列模型(图像/视频/视觉)、智能分析与会话工具,并配套评测集、动手实验室及行业案例库。社区通过技术沙龙、挑战赛等活动促进开发者成长,新用户可领50万Tokens权益,助力构建智能应用。
更多推荐
所有评论(0)