【大模型微调实战】手把手教你使用GRPO+Qwen2.5,微调7B大模型!建议收藏!!
既然问题已经被清晰地定义好了,下面就可以开始构建用于训练和评估模型的数据集了。数据集中每一行的核心内容只是一条提示信息,其中包含了供模型进行日程安排的事件列表以及优先级信息。与监督微调(SFT)不同的是,这里无需提供模型应该遵循的参考生成内容。这就是为什么在像数学这类可验证的领域中,为 GRPO 构建数据集往往更容易的原因之一。
1、问题定义
给模型提供一份事件列表(包含开始和结束时间),并告知它哪些事件是高优先级的。目标是创建一个日程安排,使所选事件的总加权时长达到最大化。
在这种设定下,高优先级事件的权重为 2,普通事件的权重为 1。
2、示例输入
这是 prompt 的一个精简版本(你可以在后面的内容找到完整的 prompt)。
Task: create an optimized schedule based on the given events.Rules: ...You must use this format: <think>...</think><schedule><event><name>...</name><start>...</start><end>...</end></event>...</schedule>---Events:- Event A (01:27 - 01:42)- Event B (01:15 - 02:30)- Event C (15:43 - 17:43)Priorities:- Event B
3、示例输出
<think>A detailed reasoning</think><schedule><event><name>Event B</name><start>01:15</start><end>02:30</end></event><event><name>Event C</name><start>15:43</start><end>17:43</end></event></schedule>
经过一番研究,作者发现这类问题属于区间调度问题。这个特定的问题是加权区间调度问题的变体,使用动态规划可以高效地解决它。
这使我们能够轻松计算出任何给定输入的最佳得分,而这个得分就是模型在训练过程中要努力达到的目标。
4、数据集生成
既然问题已经被清晰地定义好了,下面就可以开始构建用于训练和评估模型的数据集了。
数据集中每一行的核心内容只是一条提示信息,其中包含了供模型进行日程安排的事件列表以及优先级信息。
与监督微调(SFT)不同的是,这里无需提供模型应该遵循的参考生成内容。这就是为什么在像数学这类可验证的领域中,为 GRPO 构建数据集往往更容易的原因之一。
我们还在每一行数据中加入了最优得分(即最大可能的加权时长)。模型在训练过程中不会看到这个得分,但我们会用它来计算奖励,从而引导模型朝着正确的方向学习。
鉴于这些要求,编写数据集生成脚本相对容易:
- 使用来自不同类别的活动名称(音乐节、大学相关活动、科技会议等等)。
- 每个示例包含数量随机(在 4 到 8 个之间)、时长各异的活动。
- 确保一些活动存在时间上的重叠。
- 随机将某些活动标记为优先活动。
我们生成了 500 个示例用于训练集,100 个示例用于测试集。
你可以在这里找到数据集生成脚本:
https://github.com/anakin87/qwen-scheduler-grpo/blob/main/dataset_generation/generate.py
生成的数据集可在 Hugging Face 平台上获得:
https://huggingface.co/datasets/anakin87/events-scheduling
5、训练
完整的训练 notebook 在这里:
https://github.com/anakin87/qwen-scheduler-grpo/blob/main/train_grpo.ipynb
现在有几个训练库支持 GRPO。Hugging Face TRL 是一个很好的选择,它也支持使用 vLLM 在训练期间更快地生成样本。
https://huggingface.co/docs/trl/index
在这个例子中,我们决定使用 Unsloth:
https://docs.unsloth.ai/
它是一个对 TRL 进行修补以大幅减少 GPU 内存使用的库。此处使用 NVIDIA A6000 GPU(48GB VRAM),但经过小的调整,你可以在免费的 Colab/Kaggle 实例上用 16GB VRAM 复制同样的实验。
如果你的 GPU 很差,Unsloth 可以很好地进行实验,但是会有一些令人沮丧的错误,我们稍后会看到。
(1)选择并加载要训练的模型
这里决定训练 Qwen2.5-Coder-7B-Instruct,这是 Qwen 系列中一款专门针对代码的语言模型。
这个选择有点基于经验,但主要有两个考虑因素:
- 作者首先尝试了较小的模型(0.5B 和 1.5B),但这些非常小的模型产生的推理几乎毫无意义。这是第一个经验教训:如果基础模型的预训练或规模使其能力与期望相差甚远,GRPO 也无法创造奇迹。
- 使用了代码模型而非通用模型,部分原因是这在数学任务中很常见,另一部分原因是这个模型在遵循所需格式(, 等)方面已经相当出色。
现在使用 Unsloth 加载模型,用 QLoRA 对其进行训练以节省 GPU 资源。
from unsloth import FastLanguageModelmax_seq_length = 2048lora_rank = 32model, tokenizer = FastLanguageModel.from_pretrained( model_name = "Qwen/Qwen2.5-Coder-7B-Instruct", max_seq_length = max_seq_length, load_in_4bit = True, fast_inference = True, max_lora_rank = lora_rank, gpu_memory_utilization = 0.85, # Reduce if out of memory)model = FastLanguageModel.get_peft_model( model, r = lora_rank, target_modules = [ "q_proj", "k_proj", "v_proj", "o_proj", "gate_proj", "up_proj", "down_proj", ], # Remove QKVO if out of memory lora_alpha = lora_rank, use_gradient_checkpointing = "unsloth", # Enable long context finetuning random_state = 3407,)
如果你的显存小于 48GB,可以调整几个参数:gpu_memory_utilization、lora_rank 和 target_modules;后两个参数会影响模型的学习能力。
(2)数据集准备
数据集中的每个示例都包含事件和优先级。
我们对数据集进行预处理,以系统消息和用户消息的形式添加一般任务描述和说明。
import datasetsSYSTEM_PROMPT = """You are a precise event scheduler.1. First, reason through the problem inside <think> and </think> tags. Here you can create drafts, compare alternatives, and check for mistakes.2. When confident, output the final schedule inside <schedule> and </schedule> tags. Your schedule must strictly follow the rules provided by the user."""USER_PROMPT ="""Task: create an optimized schedule based on the given events.Rules:- The schedule MUST be in strict chronological order. Do NOT place priority events earlier unless their actual start time is earlier.- Event start and end times are ABSOLUTE. NEVER change, shorten, adjust, or split them.- Priority events (weight = 2) carry more weight than normal events (weight = 1), but they MUST still respect chronological order.- Maximize the sum of weighted event durations.- No overlaps allowed. In conflicts, include the event with the higher weighted time.- Some events may be excluded if needed to meet these rules.You must use this format: <think>...</think><schedule><event><name>...</name><start>...</start><end>...</end></event>...</schedule>---"""ds = datasets.load_dataset("anakin87/events-scheduling", split="train")ds = ds.map( lambda x: { "prompt": [ {"role": "system", "content": SYSTEM_PROMPT}, {"role": "user", "content": USER_PROMPT + x["prompt"]}, ] })
(3)奖励函数
GRPO 是一种强化学习算法,在该算法中,对于每个提示,会从模型中生成多个样本(在我们的例子中是 8 个)。在训练过程中,模型的参数会被更新,以生成具有高奖励的回复。
因此,虽然在数据集中不需要生成的文本,但奖励函数的设计至关重要。
在像从 GSM8K 中学习这样较为简单的问题中,一种常见的选择是定义多个奖励函数并将它们相加:
- 一种方法是检查输出格式是否正确。
- 另一种方法是检查最终答案是否与已知解决方案相符。
在我们的实验中,可以很容易地为格式设计一个奖励函数。
import reoverall_pattern = (r"<think>.+</think>.*<schedule>.*(<event>.*<name>.+</name>.*<start>\d{2}:\d{2}</start>.*" r"<end>\d{2}:\d{2}</end>.*</event>)+.*</schedule>")overall_regex = re.compile(overall_pattern, re.DOTALL)def format_reward(prompts, completions, **kwargs): responses = [completion[0]['content'] for completion in completions] return [0.0 if not overall_regex.match(response) else 10.0 for response in responses]
现在,要评判日程安排本身的质量更难。
一个有效的日程安排具有以下特点:
- 活动源自原始提示(不存在臆造的活动或更改的时间)。
- 活动按时间顺序排列。
- 不存在活动重叠。
- 活动至少有两项。
我们还希望鼓励模型生成一个能使总加权时长最大化的时间表。
在确定下面所示的解决方案之前,作者对不同数量的奖励函数进行了试验,得出了一些观察结果。
- 作者尝试对分数使用单一奖励函数,如果日程安排有效(满足上述所有标准),则奖励为日程安排分数/最优分数,否则为 0。结果发现这是个糟糕的主意,因为它太不连续,而且大多数时候返回 0,无法为模型的学习提供足够的信号。
- 另一方面,作者尝试使用了几种奖励函数,分别对应上述每个要求:已有事件、时间顺序、无重叠等。在这种情况下,他发现即使模型在学习某些东西,但训练在生成良好的日程安排方面并不有效。使用过多的奖励函数也可能会有弊端。
在“奖励过多”阶段,作者遇到了一个经典的强化学习问题:奖励作弊。起初作者忘了舍弃活动少于两个的日程安排。
突然间,奖励看起来很不错!模型在格式、时间顺序、无重叠等方面都获得了高分……
查看了实际输出,发现它找到了一个漏洞:它只是生成只有一个活动的日程安排(通常是高优先级的活动)。
这完美地满足了大多数单个奖励函数。这并非模型聪明,而是奖励设置可被利用。
最终作者采用了一个奖励函数,该函数鼓励生成按时间顺序排列的日程安排,另一个奖励函数则用于最大化得分。
如下所示,他试图在这两个奖励函数中纳入并因此优先考虑其他要求。
def sorted_events_reward(completions, **kwargs): scores = [] responses = [completion[0]['content'] for completion in completions] for response in responses: scheduled_events = get_events(response) # not a valid schedule: should be discarded if len(scheduled_events) < 2: scores.append(0.0) continue scheduled_events_minutes = [(ev[0], time_to_minutes(ev[1]), time_to_minutes(ev[2])) for ev in scheduled_events] if all(scheduled_events_minutes[i][1] < scheduled_events_minutes[i+1][1] for i in range(len(scheduled_events_minutes)-1)): scores.append(20.0) else: scores.append(0) return scoresdef score_reward(prompts, completions, events, priority_events, optimal_score, **kwargs): scores = [] responses = [completion[0]['content'] for completion in completions] for content, valid_events, priorities, opt_score in zip(responses, events, priority_events, optimal_score): scheduled_events = get_events(content) # Get valid scheduled events existing_events = {ev for ev in scheduled_events if [ev[0], ev[1], ev[2]] in valid_events} # penalize choosing nonexistent events or less than 2 events (not a valid schedule) if len(existing_events)<len(scheduled_events) or len(existing_events) < 2: scores.append(0.0) continue # Convert to minutes existing_events_minutes = [(ev[0], time_to_minutes(ev[1]), time_to_minutes(ev[2])) for ev in existing_events] # remove overlapping events and remove both events - to penalize overlaps overlapping_events = set() for j in range(len(existing_events_minutes)): for k in range(j + 1, len(existing_events_minutes)): if (existing_events_minutes[j][1] <= existing_events_minutes[k][2] and existing_events_minutes[j][2] >= existing_events_minutes[k][1]): overlapping_events.add(existing_events_minutes[j]) overlapping_events.add(existing_events_minutes[k]) existing_events_minutes = [ev for ev in existing_events_minutes if ev not in overlapping_events] # Calculate score score = sum(2 * (ev[2] - ev[1]) if ev[0] in priorities else ev[2] - ev[1] for ev in existing_events_minutes) scores.append((score/opt_score) * 70) return scores
简而言之,在实验中使用了以下奖励函数:
- 格式(0 - 10)
- 排序后的事件(0 - 20)
- 分数(0 - 70)。
累积奖励的范围可以在 0 到 100 之间。
作者在这一步上反复尝试了很多次。正如将看到的,它仍然不完美,但它让模型开始学习了。
(4)设置训练配置并进行训练
from trl import GRPOConfig, GRPOTrainertokenized_prompts = [tokenizer.apply_chat_template(prompt, tokenize=True, add_generation_prompt=True) for prompt in ds['prompt']]exact_max_prompt_length = max([len(tokenized_prompt) for tokenized_prompt in tokenized_prompts])max_prompt_length = 448 # manually adjustednew_model_id="anakin87/qwen-scheduler-7b-grpo"training_args = GRPOConfig( learning_rate = 8e-6, adam_beta1 = 0.9, adam_beta2 = 0.99, weight_decay = 0.1, warmup_ratio = 0.01, lr_scheduler_type = "cosine", optim = "paged_adamw_8bit", logging_steps = 1, per_device_train_batch_size = 8, gradient_accumulation_steps = 1, num_generations = 8, # Decrease if out of memory max_prompt_length = max_prompt_length, max_completion_length = max_seq_length - max_prompt_length, max_grad_norm = 0.1, output_dir = "outputs", overwrite_output_dir = True, push_to_hub = True, hub_model_id=new_model_id, hub_strategy="every_save", save_strategy="steps", save_steps=50, save_total_limit=1, num_train_epochs=3,)trainer = GRPOTrainer( model = model, processing_class = tokenizer, reward_funcs=[ format_reward, sorted_events_reward, score_reward, ], args = training_args, train_dataset = ds,)trainer.train()
max_prompt_length 是提示的最大长度。过长的提示将被截断。我们可以轻松计算出这个值,然后手动调整。``
num_generations 是 GRPO 的一个关键参数,表示为每个提示生成的样本数量。
该算法通过比较不同的样本进行学习,并引导模型生成具有更高奖励的样本。
更多的样本为其提供了更多的学习信息,有可能带来更好的结果,但生成这些样本需要更多的时间和内存。
6、结果
让我们看看训练曲线:

我们可以看到模型在训练过程中奖励有所提升。从一开始,样本在格式一致性方面就获得了不错的分数。
随着时间的推移,在遵循时间顺序以及日程安排方面获得良好分数的情况有所改善,这表明模型实际上学习到了奖励函数中规定的行为。
其他记录的指标,如 reward_std(奖励组内的平均标准差)和 KL 散度(模型与参考模型之间的平均 KL 散度),显示出可接受的值。
7、检查样本
在训练过程中,我们记录生成样本的一个随机子集。你可以在此处浏览完整日志。
https://huggingface.co/anakin87/qwen-scheduler-7b-grpo/raw/main/completion_samples.txt
查看这些生成情况既有趣又有启发性。正是通过这种方式,作者意识到较小的模型就是无法掌握:随着时间推移,它们的推理能力并没有显著提升。
以下是在不同训练阶段针对相同输入提示的一个示例:
Events:- Analyzing product performance (04:33 - 06:03)- One-on-one with manager (08:41 - 08:56)- Client call with Acme Corp (09:13 - 10:58)- Meeting with Lisa at café (10:14 - 11:14)- Updating website content (12:21 - 13:36)- Preparing PTO handover (16:07 - 17:37)- Marketing standup on Zoom (17:58 - 19:43)- Brainstorming with Luke and Patrick (19:11 - 19:56)Priorities:- Analyzing product performance- Meeting with Lisa at café
Step 473/1500
<think>At first glance, the events overlap in the time slot from 10:14 to 11:14. The priority event "Meeting with Lisa at café" is higher in weight compared to "Client call with Acme Corp", so we must include it. However, this will exclude the client call if we want to prioritize "Meeting with Lisa at café". To resolve this, we need to decide whether to exclude the client call or the brainstormingsession (19:11 - 19:56) which is a normal event.Since "Meeting with Lisa at café" is a priority event and it overlaps with the client call, we should include "Meeting with Lisa at café" and exclude the client call. This will give us more time for "Updating website content" (12:21 - 13:36) and "Preparing PTO handover" (16:07 - 17:37), which are also normal events.Here is the adjusted schedule:[...]This schedule maximizes the sum of weighted event durations while respecting all the rules provided.</think><schedule><event><name>Analyzing product performance</name><start>04:33</start><end>06:03</end></event><event><name>One-on-one with manager</name><start>08:41</start><end>08:56</end></event><event><name>Client call with Acme Corp</name><start>09:13</start><end>10:14</end></event><event><name>Meeting with Lisa at café</name><start>10:14</start><end>11:14</end></event><event><name>Updating website content</name><start>12:21</start><end>13:36</end></event><event><name>Preparing PTO handover</name><start>16:07</start><end>17:37</end></event><event><name>Marketing standup on Zoom</name><start>17:58</start><end>19:43</end></event><event><name>Brainstorming with Luke and Patrick</name><start>19:11</start><end>19:56</end></event></schedule>
在这个阶段,该模型在思考给定的限制条件方面展现出了令人期待的能力,但它错误地更改了一些事件的时间,以实现时间利用的最大化。
Step 973/1500
<think>To create an optimized schedule, I need to prioritize events based on provided weights and ensure no overlaps. The priority events are "Analyzing product performance" and "Meeting with Lisa at café". Let\'s evaluate the schedule step-by-step.1. **Analyzing product performance (04:33 - 06:03)** - This is a priority event (weight = 2).2. **One-on-one with manager (08:41 - 08:56)** - This is a normal event (weight = 1).3. **Client call with Acme Corp (09:13 - 10:58)** - This is a normal event (weight = 1). It conflicts with "Meeting with Lisa at café", which is also a priority event. Since "Meeting with Lisa at café" has higher priority, we exclude this event.4. **Meeting with Lisa at café (10:14 - 11:14)** - This is a priority event (weight = 2). However, it conflicts with "Client call with Acme Corp" as discussed. We need to decide whether to exclude this event or find another slot.5. **Updating website content (12:21 - 13:36)** - This is a normal event (weight = 1).6. **Preparing PTO handover (16:07 - 17:37)** - This is a normal event (weight = 1).7. **Marketing standup on Zoom (17:58 - 19:43)** - This is a normal event (weight = 1). It conflictswith "Preparing PTO handover" as they overlap. We need to decide whether to exclude one of them.8. **Brainstorming with Luke and Patrick (19:11 - 19:56)** - This is a normal event (weight = 1). It conflicts with "Marketing standup on Zoom" as they overlap. We need to decide whether to exclude one of them.To maximize the sum of weighted event durations, we should exclude conflicts with the highest priorityevents first.- Exclude "Client call with Acme Corp" since it conflicts with "Meeting with Lisa at café" (higher priority).- Exclude "Marketing standup on Zoom" since it conflicts with "Preparing PTO handover" and does not interfere with any higher priority events.Thus, the optimized schedule is as follows:</think><schedule><event><name>Analyzing product performance</name><start>04:33</start><end>06:03</end></event><event><name>One-on-one with manager</name><start>08:41</start><end>08:56</end></event><event><name>Updating website content</name><start>12:21</start><end>13:36</end></event><event><name>Preparing PTO handover</name><start>16:07</start><end>17:37</end></event><event><name>Brainstorming with Luke and Patrick</name><start>19:11</start><end>19:56</end></event></schedule>
好多了!在这里,该模型明确考虑了权重,并生成了一个有效的时间表。
Step 1470/1500
<think>The goal is to create a schedule that maximizes the sum of weighted event durations while respecting the chronological order, priorities, and non-overlapping constraints. Let\'s analyze the events and prioritize them:1. **Analyzing product performance**: Start time: 04:33, End time: 06:03, Priority: 22. **One-on-one with manager**: Start time: 08:41, End time: 08:56, Priority: 13. **Client call with Acme Corp**: Start time: 09:13, End time: 10:58, Priority: 14. **Meeting with Lisa at café**: Start time: 10:14, End time: 11:14, Priority: 25. **Updating website content**: Start time: 12:21, End time: 13:36, Priority: 16. **Preparing PTO handover**: Start time: 16:07, End time: 17:37, Priority: 17. **Marketing standup on Zoom**: Start time: 17:58, End time: 19:43, Priority: 18. **Brainstorming with Luke and Patrick**: Start time: 19:11, End time: 19:56, Priority: 1Given the priorities, we must ensure that "Analyzing product performance" and "Meeting with Lisa at café" are included. Let\'s try to fit the rest while avoiding overlaps:1. **Analyzing product performance**: 04:33 - 06:03 (Priority 2)2. **One-on-one with manager**: 08:41 - 08:56 (Priority 1)3. **Client call with Acme Corp**: 09:13 - 10:58 (Priority 1)4. **Meeting with Lisa at café**: 10:14 - 11:14 (Priority 2)5. **Updating website content**: 12:21 - 13:36 (Priority 1)6. **Preparing PTO handover**: 16:07 - 17:37 (Priority 1)The next event, "Marketing standup on Zoom", starts at 17:58, but the availability is only until 19:43. We can fit "Brainstorming with Luke and Patrick" from 19:11 to 19:56 before the standup.1. **Analyzing product performance**: 04:33 - 06:03 (Priority 2)2. **One-on-one with manager**: 08:41 - 08:56 (Priority 1)3. **Client call with Acme Corp**: 09:13 - 10:58 (Priority 1)4. **Meeting with Lisa at café**: 10:14 - 11:14 (Priority 2)5. **Updating website content**: 12:21 - 13:36 (Priority 1)6. **Preparing PTO handover**: 16:07 - 17:37 (Priority 1)7. **Brainstorming with Luke and Patrick**: 19:11 - 19:56 (Priority 1)Final schedule:- Analyzing product performance: 04:33 - 06:03- One-on-one with manager: 08:41 - 08:56- Client call with Acme Corp: 09:13 - 10:58- Meeting with Lisa at café: 10:14 - 11:14- Updating website content: 12:21 - 13:36- Preparing PTO handover: 16:07 - 17:37- Brainstorming with Luke and Patrick: 19:11 - 19:56This schedule respects the chronological order, includes the high-priority events, and avoids any overlaps.</think><schedule><event><name>Analyzing product performance</name><start>04:33</start><end>06:03</end></event><event><name>One-on-one with manager</name><start>08:41</start><end>08:56</end></event><event><name>Client call with Acme Corp</name><start>09:13</start><end>10:58</end></event><event><name>Meeting with Lisa at café</name><start>10:14</start><end>11:14</end></event><event><name>Updating website content</name><start>12:21</start><end>13:36</end></event><event><name>Preparing PTO handover</name><start>16:07</start><end>17:37</end></event><event><name>Brainstorming with Luke and Patrick</name><start>19:11</start><end>19:56</end></event></schedule>
在这个样本中,尽管推理过程很长,但模型在最终的日程安排中放入了两个重叠的事件。查看样本很不错,但我们需要系统的评估。
8、评估
为了进行评估,我们可以使用事件调度数据集的测试集,模型之前从未见过该测试集。
我们将评估阶段分为两个步骤:
-
推理: 为每个测试提示生成一个日程安排。
-
评分: 根据我们的规则(格式正确、至少 2 个事件、仅存在的事件、按时间顺序、无重叠)检查每个生成的日程安排。
如果违反任何规则,该日程安排在该提示下得分为 0。
如果有效,其得分是
(weighted_duration/optimal_weighted_duration) * 100。
你可以在 GitHub 存储库中找到这些脚本:
https://github.com/anakin87/qwen-scheduler-grpo/tree/main/evaluation
在推理过程中出现了 Unsloth 错误。用 Unsloth 训练的模型无法可靠地转换为标准的 Hugging Face Transformers 模型;尝试这样做可能会得到一个不同的模型。
这是一个已知问题:
https://github.com/unslothai/unsloth/issues/2009
如果在生产工作中需要这样做,比如说,用 vLLM 进行服务,这将是一个重大障碍,而且相当令人沮丧。
由于 Unsloth 对 TRL 进行了补丁,因此改编代码并使用 TRL 相当容易,而且 TRL 更稳定。只需注意,你将需要更多的 GPU 显存。
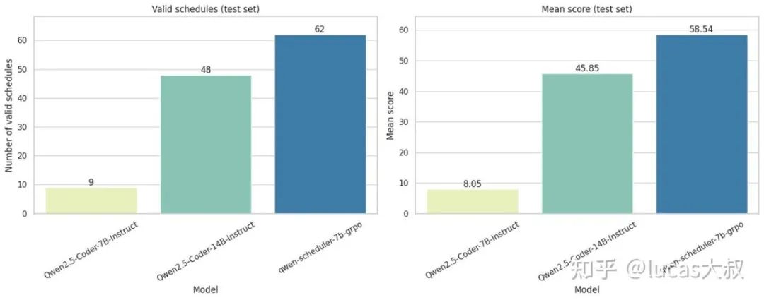
比较 qwen-scheduler-7b-grpo(我们的模型)、Qwen2.5-Coder-7B-Instruct(原始模型)以及 Qwen2.5-Coder-14B-Instruct(同一模型家族中更大的模型)。
由于样本表明模型在第 2 个 epoch 到第 3 个 epoch 之间可能变差了,作者还评估了第 2 个 epoch 结束时的检查点。


从以上对比可以看出:
- GRPO 肯定起作用了!它在引导模型产生期望行为方面相当有效。
- 经过调优的模型在这项任务中的表现甚至超过了规模是其两倍的模型。
- 该模型几乎完美地学会了格式、时间顺序,并且只使用现有事件。
- 该模型在处理重叠问题上仍有困难,这在测试集中很大一部分样本中都很明显。
9、如何改善
主要问题肯定是重叠现象。我们可以看到,模型并没有有效地学会避免这些重叠。
此外,在第 3 个训练周期中出现的轻微性能下降,可能表明模型正在学习一种并非最优的策略。
奖励函数的思路:
- 更强的重叠惩罚: 在 score_reward 函数中,从分数计算中剔除重叠事件。我们可以实施更严厉的惩罚…
- 专门的重叠奖励: 或者,添加一个仅检查重叠情况的奖励函数。
奖励函数默认是累加的,因此,根据对惩罚的设计方式,这两种不同的方法在数学上可能是等效的。
10、结论与主要收获
在本文中,详细介绍了如何使用 GRPO 在一项新的可验证任务上对语言模型进行后训练:根据一系列事件和优先级创建日程安排。
涵盖了问题定义、数据集生成、基础模型选择、奖励函数设计、使用 Unsloth 进行训练以及评估等方面。通过实际操作,对 GRPO 以及在大语言模型中应用强化学习有了一些认识。
(1)对于可验证任务,GRPO 非常出色
它简化了典型的强化学习设置(例如在 PPO 中使用的设置):无需价值模型;奖励模型通常被确定性奖励函数所取代(具有可验证奖励的强化学习)。
由于数据集只需要提示(无需生成内容),数据收集比监督微调(SFT)要容易得多,成本也低得多。
(2)启发模型行为
使用 GRPO 及类似算法进行启发,更多是从训练好的模型中引出期望的行为,而非向其教授全新的内容。如果你需要从根本上获得新技能,指令微调(以及蒸馏)可能会更有效。
(3)基础模型很重要
如果在采样过程中,基础模型在任务上从未表现出有前景的行为,那么 GRPO 可能对你的问题无效。你可能首先需要一个更大或更好的基础模型。
(4)“顿悟时刻”可能被过度炒作了
在 DeepSeek-R1 论文中,作者表明,在 GRPO 过程中,“模型学会以拟人化的语气进行反思”。这是奇迹吗?最近的研究表明,基础模型也有类似的行为。
(5)奖励函数的设计至关重要
奖励应该体现目标,提供一个可学习的信号(对模型的一种激励),并且要具有稳健性。
如果它们不稳健,你可能会遇到奖励作弊的情况:模型找到捷径来最大化奖励,而实际上并没有解决你心中所想的问题。
(6)Unsloth:对节省 GPU 资源很有用,但要注意
如果你没有太多的 GPU 资源,或者处于实验阶段,Unsloth 可能会有帮助。这些人在 GPU 效率方面做出了令人印象深刻的成果。
然而,目前这个库存在难以解决的漏洞,这使得它不适合用于严肃的应用场景。如果你有足够的显存,TRL 会更稳定。
最后
为什么要学AI大模型
当下,⼈⼯智能市场迎来了爆发期,并逐渐进⼊以⼈⼯通⽤智能(AGI)为主导的新时代。企业纷纷官宣“ AI+ ”战略,为新兴技术⼈才创造丰富的就业机会,⼈才缺⼝将达 400 万!
DeepSeek问世以来,生成式AI和大模型技术爆发式增长,让很多岗位重新成了炙手可热的新星,岗位薪资远超很多后端岗位,在程序员中稳居前列。

与此同时AI与各行各业深度融合,飞速发展,成为炙手可热的新风口,企业非常需要了解AI、懂AI、会用AI的员工,纷纷开出高薪招聘AI大模型相关岗位。
最近很多程序员朋友都已经学习或者准备学习 AI 大模型,后台也经常会有小伙伴咨询学习路线和学习资料,我特别拜托北京清华大学学士和美国加州理工学院博士学位的鲁为民老师给大家这里给大家准备了一份涵盖了AI大模型入门学习思维导图、精品AI大模型学习书籍手册、视频教程、实战学习等录播视频 全系列的学习资料,这些学习资料不仅深入浅出,而且非常实用,让大家系统而高效地掌握AI大模型的各个知识点。
这份完整版的大模型 AI 学习资料已经上传CSDN,朋友们如果需要可以微信扫描下方CSDN官方认证二维码免费领取【保证100%免费】
AI大模型系统学习路线
在面对AI大模型开发领域的复杂与深入,精准学习显得尤为重要。一份系统的技术路线图,不仅能够帮助开发者清晰地了解从入门到精通所需掌握的知识点,还能提供一条高效、有序的学习路径。

但知道是一回事,做又是另一回事,初学者最常遇到的问题主要是理论知识缺乏、资源和工具的限制、模型理解和调试的复杂性,在这基础上,找到高质量的学习资源,不浪费时间、不走弯路,又是重中之重。
AI大模型入门到实战的视频教程+项目包
看视频学习是一种高效、直观、灵活且富有吸引力的学习方式,可以更直观地展示过程,能有效提升学习兴趣和理解力,是现在获取知识的重要途径

光学理论是没用的,要学会跟着一起敲,要动手实操,才能将自己的所学运用到实际当中去,这时候可以搞点实战案例来学习。
海量AI大模型必读的经典书籍(PDF)
阅读AI大模型经典书籍可以帮助读者提高技术水平,开拓视野,掌握核心技术,提高解决问题的能力,同时也可以借鉴他人的经验。对于想要深入学习AI大模型开发的读者来说,阅读经典书籍是非常有必要的。
600+AI大模型报告(实时更新)
这套包含640份报告的合集,涵盖了AI大模型的理论研究、技术实现、行业应用等多个方面。无论您是科研人员、工程师,还是对AI大模型感兴趣的爱好者,这套报告合集都将为您提供宝贵的信息和启示。
AI大模型面试真题+答案解析
我们学习AI大模型必然是想找到高薪的工作,下面这些面试题都是总结当前最新、最热、最高频的面试题,并且每道题都有详细的答案,面试前刷完这套面试题资料,小小offer,不在话下

这份完整版的大模型 AI 学习资料已经上传CSDN,朋友们如果需要可以微信扫描下方CSDN官方认证二维码免费领取【保证100%免费】

火山引擎开发者社区是火山引擎打造的AI技术生态平台,聚焦Agent与大模型开发,提供豆包系列模型(图像/视频/视觉)、智能分析与会话工具,并配套评测集、动手实验室及行业案例库。社区通过技术沙龙、挑战赛等活动促进开发者成长,新用户可领50万Tokens权益,助力构建智能应用。
更多推荐
所有评论(0)