Qwen3开源最新Embedding模型,一文详解文本嵌入与重排序!!
Qwen3-Embedding 是构建于 Qwen3 基础模型上的新一代文本嵌入与重排序模型系列,显著提升了多语言理解、代码检索与复杂指令任务中的表现。该系列模型覆盖三个参数规模(0.6B、4B、8B),并通过多阶段训练策略,结合大规模弱监督合成数据、有监督微调与模型融合,最终在多个基准测试中取得了当前最优性能。
导语
Qwen3-Embedding 是构建于 Qwen3 基础模型上的新一代文本嵌入与重排序模型系列,显著提升了多语言理解、代码检索与复杂指令任务中的表现。该系列模型覆盖三个参数规模(0.6B、4B、8B),并通过多阶段训练策略,结合大规模弱监督合成数据、有监督微调与模型融合,最终在多个基准测试中取得了当前最优性能。
- 论文标题:Qwen3 Embedding: Advancing Text Embedding and Reranking Through Foundation Models
- 论文链接:https://arxiv.org/pdf/2506.05176
- 项目地址:https://github.com/QwenLM/Qwen3-Embedding
1 引言
文本嵌入(Text Embedding)与重排序(Reranking)是现代自然语言处理(NLP)系统的核心技术,广泛应用于搜索、问答、推荐等场景。随着 LLM(如 Qwen3、GPT-4o)的进展,检索增强生成(RAG)和智能体系统推动了文本语义建模的新需求。Qwen3-Embedding 系列通过构建在 Qwen3 模型之上,提出新的训练范式,应对多语言、大规模、多任务嵌入与重排序挑战。

2 方法
2.1 模型架构
Qwen3-Embedding 与 Qwen3-Reranker 基于 Qwen3 dense 架构,支持三种模型规模:0.6B、4B、8B。
-
嵌入模型使用因果注意力结构,输入格式为:
{Instruction} {Query}<|endoftext|>,最终嵌入由[EOS]token 的隐藏状态生成。 -
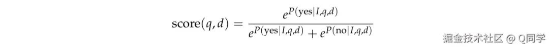
重排序模型通过 Chat 模板将相似度判断转化为二分类问题,模型输出 “yes”/“no” 的概率用于计算打分:

2.2 多阶段训练流程
训练共三阶段:
① 弱监督预训练
使用 Qwen3-32B 生成的150M对合成文本,任务类型覆盖检索、STS、分类、双语对齐。优化目标为对比学习损失:

② 有监督微调
筛选出相似度(cosine similarity)大于 0.7 的约12M对高质量样本和7M有标签数据集,继续训练。
③ 模型融合
使用球面线性插值(slerp)融合多个微调模型,提升泛化能力。原文描述如下:
after completing the supervised f ine-tuning, we applied a model merging technique based on spherical linear interpolation (slerp). This technique involves merging multiple model checkpoints saved during the fine-tuning process.
表 1展示了所有Qwen3 Embedding 模型结构参数与功能支持。


2.3 合成数据构建
使用 Qwen3-32B,从语料中抽取段落,通过两阶段生成流程:
- 配置阶段:定义角色(Persona Hub)、问题类型、难度;
- 查询生成阶段:控制查询语言、长度、风格,结构化输出为 JSON。
配置生成阶段Prompt如下:

查询生成阶段Prompt如下:

3 实验
3.1 实验结果
表 2展示了Qwen3-Embedding模型在MMTEB 多语言任务集上的表现,可以看到:
-
Qwen3-Embedding-4B/8B 达到 SOTA
-
0.6B 紧随 Gemini-Embedding,优于大多数开源模型

表 3展示了Qwen3-Embedding模型在 MTEB English、CMTEB、MTEB Code 上的表现,Qwen3-Embedding模型持续领先。
表 4展示了Qwen3-Reranker模型在重排序任务上的评估结果,可以看到:
- 所有 Qwen3-Reranker 模型优于 baseline
- 8B 模型在几乎所有任务中取得最高得分
3.2 实验分析
表 5以Qwen3-Embedding-0.6B 模型为例展示了消融实验结果,有以下分析结论:
- 弱监督训练有效性:移除弱监督阶段 → 性能显著下降
- 模型融合有效性:未融合模型表现不如最终融合模型
4 总结
Qwen3-Embedding 系列是构建于 Qwen3 基础模型的通用文本嵌入与重排序解决方案,具有:
- 当前最优性能(MTEB、MMTEB、CMTEB、MTEB-Code)
- 多语言、多任务、多规模适配
- 多阶段训练策略提升泛化能力
- 全模型规模(0.6B / 4B / 8B)已开源,Apache 2.0 协议
- 适用于语义检索、跨语言匹配、代码检索、RAG 系统等多种实际场景。
最后
为什么要学AI大模型
当下,⼈⼯智能市场迎来了爆发期,并逐渐进⼊以⼈⼯通⽤智能(AGI)为主导的新时代。企业纷纷官宣“ AI+ ”战略,为新兴技术⼈才创造丰富的就业机会,⼈才缺⼝将达 400 万!
DeepSeek问世以来,生成式AI和大模型技术爆发式增长,让很多岗位重新成了炙手可热的新星,岗位薪资远超很多后端岗位,在程序员中稳居前列。

与此同时AI与各行各业深度融合,飞速发展,成为炙手可热的新风口,企业非常需要了解AI、懂AI、会用AI的员工,纷纷开出高薪招聘AI大模型相关岗位。
最近很多程序员朋友都已经学习或者准备学习 AI 大模型,后台也经常会有小伙伴咨询学习路线和学习资料,我特别拜托北京清华大学学士和美国加州理工学院博士学位的鲁为民老师给大家这里给大家准备了一份涵盖了AI大模型入门学习思维导图、精品AI大模型学习书籍手册、视频教程、实战学习等录播视频 全系列的学习资料,这些学习资料不仅深入浅出,而且非常实用,让大家系统而高效地掌握AI大模型的各个知识点。
这份完整版的大模型 AI 学习资料已经上传CSDN,朋友们如果需要可以微信扫描下方CSDN官方认证二维码免费领取【保证100%免费】
AI大模型系统学习路线
在面对AI大模型开发领域的复杂与深入,精准学习显得尤为重要。一份系统的技术路线图,不仅能够帮助开发者清晰地了解从入门到精通所需掌握的知识点,还能提供一条高效、有序的学习路径。

但知道是一回事,做又是另一回事,初学者最常遇到的问题主要是理论知识缺乏、资源和工具的限制、模型理解和调试的复杂性,在这基础上,找到高质量的学习资源,不浪费时间、不走弯路,又是重中之重。
AI大模型入门到实战的视频教程+项目包
看视频学习是一种高效、直观、灵活且富有吸引力的学习方式,可以更直观地展示过程,能有效提升学习兴趣和理解力,是现在获取知识的重要途径

光学理论是没用的,要学会跟着一起敲,要动手实操,才能将自己的所学运用到实际当中去,这时候可以搞点实战案例来学习。
海量AI大模型必读的经典书籍(PDF)
阅读AI大模型经典书籍可以帮助读者提高技术水平,开拓视野,掌握核心技术,提高解决问题的能力,同时也可以借鉴他人的经验。对于想要深入学习AI大模型开发的读者来说,阅读经典书籍是非常有必要的。
600+AI大模型报告(实时更新)
这套包含640份报告的合集,涵盖了AI大模型的理论研究、技术实现、行业应用等多个方面。无论您是科研人员、工程师,还是对AI大模型感兴趣的爱好者,这套报告合集都将为您提供宝贵的信息和启示。
AI大模型面试真题+答案解析
我们学习AI大模型必然是想找到高薪的工作,下面这些面试题都是总结当前最新、最热、最高频的面试题,并且每道题都有详细的答案,面试前刷完这套面试题资料,小小offer,不在话下

这份完整版的大模型 AI 学习资料已经上传CSDN,朋友们如果需要可以微信扫描下方CSDN官方认证二维码免费领取【保证100%免费】

火山引擎开发者社区是火山引擎打造的AI技术生态平台,聚焦Agent与大模型开发,提供豆包系列模型(图像/视频/视觉)、智能分析与会话工具,并配套评测集、动手实验室及行业案例库。社区通过技术沙龙、挑战赛等活动促进开发者成长,新用户可领50万Tokens权益,助力构建智能应用。
更多推荐



所有评论(0)