背包加密(入门)
背包加密是 1977 年由 Merkle 和 Hellman 提出的早期公钥加密算法,核心是借助背包问题的 “易解” 与 “难解” 特性构建加解密体系,曾为非对称加密提供重要思路,不过后来因被找到破解方法,安全性不足已逐步退出主流应用。该算法虽初期看似安全,但发布数年后被找到多种破解手段。比如 Shamir 提出的针对性破译方法,以及后来的 LLL 格基规约算法,都能高效破解这类加密。此外,若加密
背包加密
历史过程
背包加密是 1977 年由 Merkle 和 Hellman 提出的早期公钥加密算法,核心是借助背包问题的 “易解” 与 “难解” 特性构建加解密体系,曾为非对称加密提供重要思路,不过后来因被找到破解方法,安全性不足已逐步退出主流应用。
安全性缺陷:
该算法虽初期看似安全,但发布数年后被找到多种破解手段。比如 Shamir 提出的针对性破译方法,以及后来的 LLL 格基规约算法,都能高效破解这类加密。此外,若加密实现时参数选择不当(如超递增序列长度过短、模数 m 取值过小),攻击者还可通过枚举等方式获取密钥。正因这些缺陷,它逐渐被 RSA、ECC 等更安全的公钥算法取代,仅在加密原理教学等场景中仍有参考价值。
以下是其详细介绍:
引言
首先,我们先来介绍一下背包问题,假定一个背包可以称重 W,现在有 n 个物品,其重量分别为 a1,a2,…,an 我们想问一下装哪些物品可以恰好使得背包装满,并且每个物品只能被装一次。这其实就是在解这样的一个问题
x1a1+x2a2+,…,+xnan=W
其中所有的 xi 只能为 0 和 1。显然我们必须枚举所有的 n 个物品的组合才能解决这个问题,而复杂度也就是 2n,这也就是背包加密的妙处所在。
超递增序列:本质是每一项都严格大于它之前所有项之和的正整数序列。
核心定义
序列中第 k 项(k≥2)的值,必须大于前 k-1 项所有元素的总和。公式表达:对序列 {a₁, a₂, ..., aₙ},满足 aₖ > a₁ + a₂ + ... + aₖ₋₁(k 从 2 到 n)。
例子:
{2,3,6,13,27,52}
核心原理
该算法的核心逻辑是区分两类背包问题并转化使用。
-
一类是基于超递增序列的易解背包问题(超递增序列指每一项都大于它之前所有项之和,如 {2,3,6,13,27,52}),这类问题可快速求解;
-
另一类是非超递增序列的难解背包问题,暴力破解需指数级时间。算法中,私钥对应易解的超递增背包序列,公钥则是通过模运算将超递增序列转化而来的难解普通序列。
加密时用公钥构造难解背包问题,解密时用私钥对应的易解背包问题还原明文,未掌握私钥者破解需攻克难解背包问题。
完整加解密流程
公私钥生成
生成私钥
私钥就是我们的初始的背包集,这里我们使用超递增序列。
生成公钥
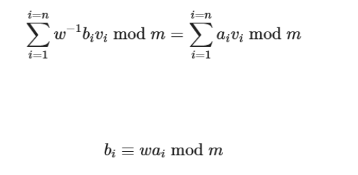
在生成公钥的过程中主要使用了模乘的运算。
首先,我们生成模乘的模数m,这里要确保

其次,我们选择模乘的乘数 w,作为私钥并且确保即 w 与 m 互质
gcd(w,m)=1 (最大公因数)
之后,我们便可以通过如下公式生成公钥
bi≡wai mod m
并将这个新的背包集 bi 和 m 作为公钥。
加解密
加密
假设我们要加密的明文为 v,其每一个比特位为 vi,那么我们加密的结果为
解密
对于解密方,首先可以求的 w 关于 m 的逆元 w−1。
然后我们可以将得到的密文乘以 w−1 即可得到明文,这是因为

对于每一块的加密的消息都是小于 m 的,所以求得结果自然也就是明文了。
示例
以超递增序列 {2,3,6,13,27,52} 为例,具体步骤如下:
| 步骤 | 操作内容 | 举例说明 |
|---|---|---|
| 生成密钥 | 先确定私钥(超递增序列 {2,3,6,13,27,52});再选模数 m(需大于超递增序列总和,如 105)和乘数 w(需与 m 互质,如 31);最后用 “(序列中每项 ×n)mod m” 生成公钥 {62,93,81,88,102,37}。 | 私钥:{2,3,6,13,27,52}、m=105、w=31;公钥:{62,93,81,88,102,37} |
| 加密明文 | 将二进制明文按公钥序列长度分组,每组的二进制位对应公钥元素的取舍(1 取 0 舍),计算每组对应公钥元素的总和,得到密文。 | 明文分组 110101,对应取公钥中 62、93、88、37,总和 62+93+88+37=280,此 280 即为该分组的密文 |
| 解密密文 | 先计算乘数 w 的逆元 w⁻¹(满足 w×w⁻¹ ≡1 mod m,如 31 的逆元 61,31×61 mod105=1);用 w⁻¹ 乘密文再对 m 取模,将密文还原为超递增序列对应的数值;最后通过超递增背包的求解方法,反向推出明文二进制。 | 密文 280×61 mod105=70,70 可拆分为 2+3+13+52,对应二进制 110101,还原明文分组 |
- 分类与特点
背包加密主要分为加法背包和乘法背包两类,二者各有运算特点:
- 加法背包:序列满足 “前面所有数的和小于后面的数”,加密是计算选中元素的和。例如序列 {2,3,6,12,24,48},密文 86 对应 2+12+24+48 的组合,未知序列时难以反向推导组合方式。
- 乘法背包:序列满足 “前面所有数的乘积小于后面的数”,加密计算选中元素的乘积。其数值增长远快于加法背包,加密后数据通常极大,但运算量也随之大幅增加。
参考文章
火山引擎开发者社区是火山引擎打造的AI技术生态平台,聚焦Agent与大模型开发,提供豆包系列模型(图像/视频/视觉)、智能分析与会话工具,并配套评测集、动手实验室及行业案例库。社区通过技术沙龙、挑战赛等活动促进开发者成长,新用户可领50万Tokens权益,助力构建智能应用。
更多推荐
所有评论(0)